BHAVI ASSOCIATES


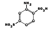
Product : ANILINE 2:5 DISULFONIC ACID

M.W : 253

EMPIRICAL FORMULA : C6 H7 S2 O6 N

FORM SUPPLIED : WET CAKE

BASIS FOR SALE : ON REAL CONTENT , M.W.253

PACKING : 50 KGS HDPE BAGS WITH INSIDE POLYTHENE LINER.

TECHNICAL DATA

DESCRIPTION : WHITE POWDER

NATURE OF MATERIAL : FREE SULPHONIC ACID

STRENGTH: @ 75 - 80 %

SOLUBILITY : SOLUBLE IN WATER

USE : INTERMIDIATE FOR DYESTUFFS

STRUCTURAL FORMULA :





ANILINE 2:5 DISULFONIC ACID


10, Nand Bhavan, 83 J.P Road , Opp. Andheri Sports Complex , Andheri (West) , Mumbai - 400 058, INDIA
Tel no:  91-22-6237628 / 6702279 , Fax : 91-22-6245559.   e-mail : aisba@vsnl.com